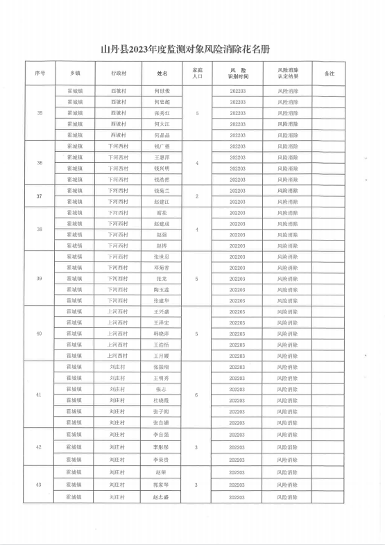
山丹县乡村振兴局关于同意常建民等71户监测对象风险消除的通知(霍城镇部分))

索引号: 6207250033/2023-00296

文号:

关键词:

发布机构: 霍城镇

公开形式: 主动公开

公开目录:

生成日期: 2023-03-15 15:35:00

有效性:

索引号 6207250033/2023-00296 发文字号
关键词 发布机构 霍城镇
公开形式 主动公开 公开目录
生成日期 2023-03-15 15:35:00 是否有效


扫一扫在手机打开当前页面

Baidu
map